【CF】Day21——Codeforces Round 961 (Div. 2) BC
有点思维的模拟题由于题目告诉我们每次选的花要确保任意两种之差都要小于等于 1(开始看错了)也就是说我们只有 只选 x 或 选x和 x+1 这两种选法我们如何选呢?我们可以先只考虑选 x 的花,这样就有两种情况了①.可以全选,即能够只选 x 花用完所有的钱 或 只选 x 花剩下的钱不能再买花了②.不能全选,即选完 x 花后还剩下了很多钱可以用来买 x+1 花这两种情况我们可以合并起来,一个显然的想法
B2. Bouquet (Hard Version)
题目:


思路:
有点思维的模拟题
由于题目告诉我们每次选的花要确保任意两种之差都要小于等于 1(开始看错了)
也就是说我们只有 只选 x 或 选x和 x+1 这两种选法
我们如何选呢?
我们可以先只考虑选 x 的花,这样就有两种情况了
①.可以全选,即能够只选 x 花用完所有的钱 或 只选 x 花剩下的钱不能再买花了
②.不能全选,即选完 x 花后还剩下了很多钱可以用来买 x+1 花
这两种情况我们可以合并起来,一个显然的想法,如果我们要增加总价值,那么我们就要买 x+1 花,那买 x+1 花也有两种情况
①.如果能直接买,那就直接买
②.如果不能直接买,那就删一朵 x,再买一朵 x + 1
而这两种情况刚好与上面的两种情况相对应
也就是说我们现在的操作就是:先尽量买 x 花,如果有剩,看看能不能买 x+1 花,这样就达到了第一阶段的答案,随后我们再尝试将 x 花换成 x+1 花,最后将能换的都换完后就是第二阶段的答案了,显然第二次的答案一定大于第一次的答案,所以我们直接改变即可
具体实现看代码,有点小细节
代码:
#include <iostream>
#include <algorithm>
#include<cstring>
#include<cctype>
#include<string>
#include <set>
#include <vector>
#include <cmath>
#include <queue>
#include <unordered_set>
#include <map>
#include <unordered_map>
#include <stack>
#include <memory>
using namespace std;
#define int long long
#define yes cout << "YES\n"
#define no cout << "NO\n"
void solve()
{
int n, m;
cin >> n >> m;
vector<pair<int, int>> a(n);
for (int i = 0; i < n; i++)
{
cin >> a[i].first;
}
for (int i = 0; i < n; i++)
{
cin >> a[i].second;
}
sort(a.begin(), a.end());
int res = 0;
for (int i = 0; i < n; i++)
{
//只选一种
int temp = min(m / a[i].first,a[i].second) * a[i].first;
if (i + 1 < n && a[i + 1].first - 1 == a[i].first)
{
//选第一种的个数
int getanum = min(m / a[i].first, a[i].second);
//第二种能选的个数
int getbnum = min((m - getanum * a[i].first) / a[i + 1].first, a[i + 1].second);
temp += getbnum * a[i + 1].first;
//剩下了多少钱
int lastmoney = m - temp;
temp += min(min(getanum, a[i + 1].second - getbnum),lastmoney);
}
res = max(temp, res);
}
cout << res << endl;
}
signed main()
{
cin.tie(0)->sync_with_stdio(false);
int t = 1;
cin >> t;
while (t--)
{
solve();
}
return 0;
}
C. Squaring
题目:

思路:
数学题
首先我们看无解的情况,显然就是当 1 前有个数比 1 大时,因为 1 的平方还是 1 ,所以无论操作多少次,我们都无法改变大小关系
其余情况显然有解,那么我们就来看如何计算

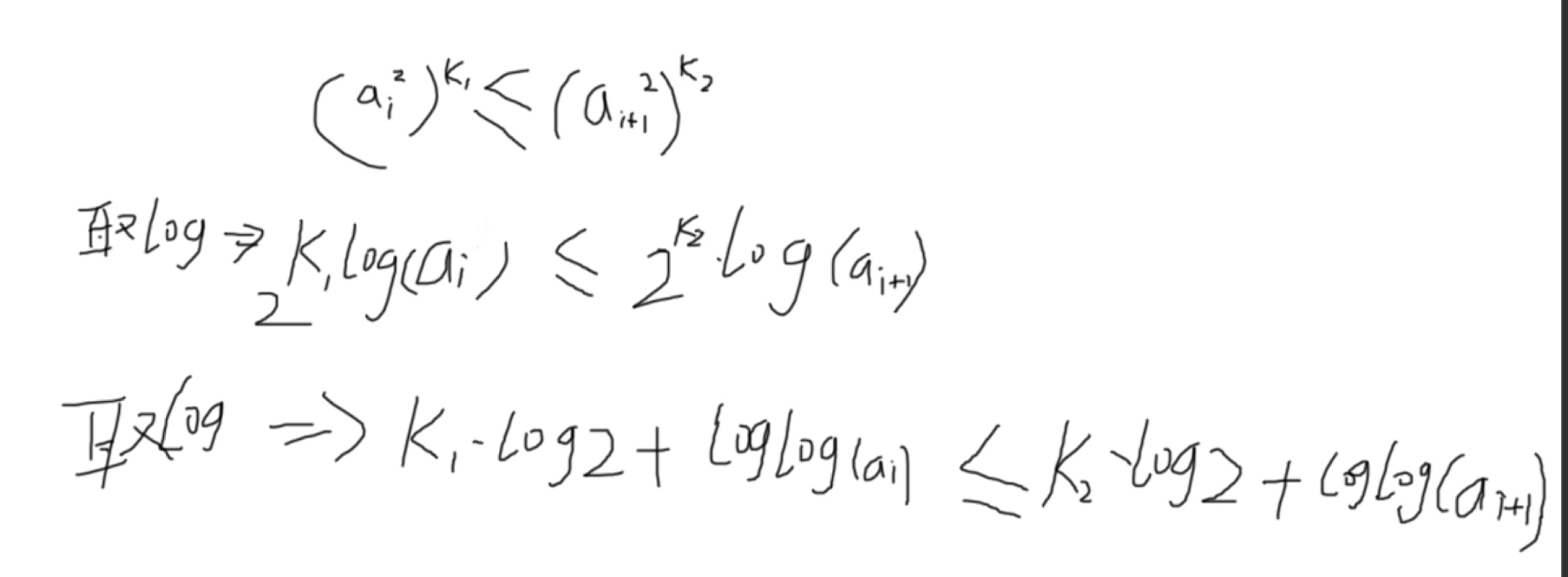
对于前后两个数,我们可以假设前面的数已经平方过 k1 次,我们当前数要平方 k2 次,那么就存在如上图所示的关系,由于我们如果用幂次的话绝对会爆数据,而我们并不需要知道具体的值,我们只需要知道大小关系,所以我们可以通过不断地取 log 来缩短数据大小,最后就是上图所示的关系
因此我们可以通过递推的方式通过上一个 k,来计算当前 k
如何计算呢?如果暴力枚举每次+1的话会超时(试过了)
因此我们考虑二分答案,特别的,在使用log时要记得减去 eps,不然精度会有问题

具体细节看代码
代码:
#include <iostream>
#include <algorithm>
#include<cstring>
#include<cctype>
#include<string>
#include <set>
#include <vector>
#include <cmath>
#include <queue>
#include <unordered_set>
#include <map>
#include <unordered_map>
#include <stack>
#include <memory>
using namespace std;
#define int long long
#define yes cout << "YES\n"
#define no cout << "NO\n"
const double eps = 1e-9;
const double lg2 = log(2);
void solve()
{
int n, flag = 0;
cin >> n;
vector<int> a(n);
vector<double> b(n);
for (int i = 0; i < n; i++)
{
cin >> a[i];
if (i && a[i] == 1 && a[i] < a[i - 1])
flag = 1;
b[i] = log(log(a[i]*1.0));
}
if (flag)
{
cout << -1 << endl;
return;
}
vector<int> f(n, 0);
int res = 0;
for (int i = 1; i < n; i++)
{
if (f[i - 1] * lg2 + b[i - 1] - eps > f[i] * lg2 + b[i])
{
int l = 0, r = 1e10;
while (l + 1 < r)
{
int mid = l + r >> 1;;
if (f[i - 1] * lg2 + b[i - 1] - eps > mid * lg2 + b[i])
l = mid;
else
r = mid;
}
f[i] = r;
}
res += f[i];
}
cout << res << endl;
}
signed main()
{
cin.tie(0)->sync_with_stdio(false);
int t = 1;
cin >> t;
while (t--)
{
solve();
}
return 0;
}
更多推荐



所有评论(0)